
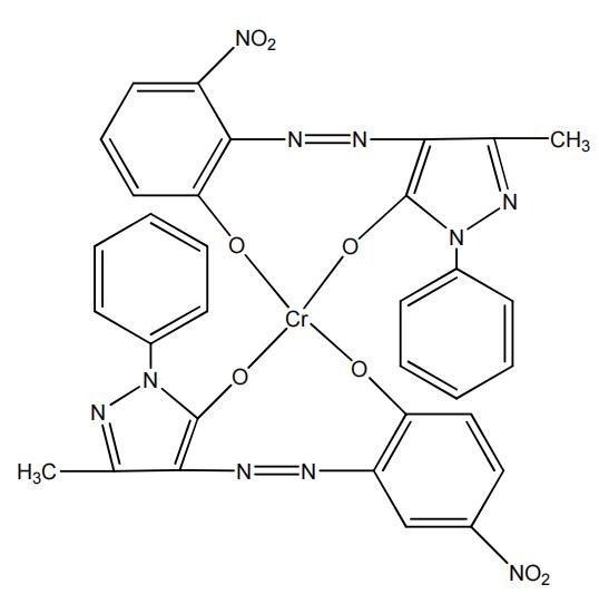
PRODUCTS
Product Name: Solvent Red 119
Color Index No.: C.I Solvent Red 119
Chemical Type: Azo, Acid/Basic dyes complex
Formula: C26H22N10O8Cr
Molecular Weight:
CAS#: 12237-27-3
Molecular Structure:
CAS#: 12237-27-3
Molecular Structure:

Other Trade Name:
Neozapon Red 355 (BASF)
Character: Has good compatibility and dissolubility in all kinds of organic solvent,
synthetic and natural resin. Has excellent heat stability, light stability, dissolubility as
well as strong stain ability.
Use: Mainly be used in dyeing resin, transparent paint, aluminium-foil paper, wood,
blocking materials and leather.
Specifications:

Property and Performance:

It needs to be declared that the above data is based on our present knowledge and experience; owing to too many affecting factors, these data cannot be free from their check and test when processing and using the product.
CONTACT US