
PRODUCTS
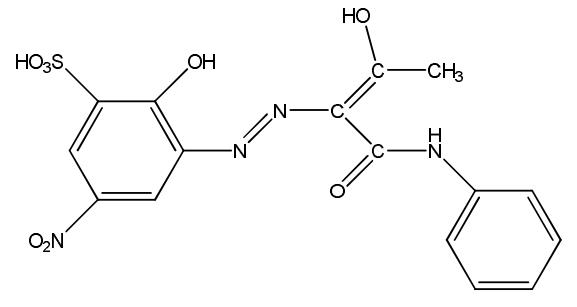
Product Name: Solvent Yellow 19
Color Index No.: C.I Solvent Yellow 19 (13900:1)
Chemical Type: Azo metal complex
CAS#: 10343-55-2
Formula: C16H14N4O8S
Molecular Weight: 422.37
Molecular Structure:1:1 Chrome complex with following structure

Other Trade Name:
Alcohol Soluble Yellow G (CLR)
Yellow G for Aluminium (CLR)
Character: Has good compatibility and dissolubility in all kinds of organic solvent,
synthetic and natural resin. Has excellent heat stability, light stability, dissolubility as
well as strong stain ability.
Use: Mainly be used in dyeing resin, transparent paint, aluminium-foil paper, wood,
blocking materials and leather
Property and Performance:


It needs to be declared that the above data is based on our present knowledge and
experience; owing to too many affecting factors, these data cannot be free from their
check and test when processing and using the product.
CONTACT US